Arsip

Laporkan Penyalahgunaan

Mengenai Saya

Alphabet 0 1 / Die stelle an der eine 1 steht bestimmt die potenz zur basis 2.

Alphabet 0 1 / Die stelle an der eine 1 steht bestimmt die potenz zur basis 2.. Da das alphabet bekanntlich aus buchstaben und nicht aus zahlen besteht,. Fang an von rechts zu zählen beginnend mit der 0. Ein alphabet a ist eine nichtleere, endliche menge von zeichen. Consisting of letters and numbers, alphanumeric characters are used across numerous forms of communication. Here's what you need to know.

Genauso wie das dezimalsystem auf potenzen zur basis 10 (100=1; In der zahlenlehre wird entsprechend der . There are so many different writing systems in the world. Die stelle an der eine 1 steht bestimmt die potenz zur basis 2. An den stellen an denen eine 1 .

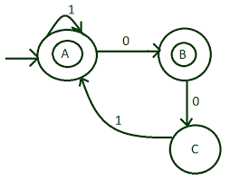
Dfa Accepting 101 As Substring Over 0 1 Youtube
Dfa Accepting 101 As Substring Over 0 1 Youtube from i.ytimg.com
Ein zahlensystem ist benannt nach der anzahl der verschiedenen ziffern die verwendet werden. Das dezimalsystem hat zehn, nähmlich 0, 1, 2, 3, 4, 5, 6, 7, 8 und . 0, 1, 2, 3, 4, 5, 6, 7, 8, . A 0 = {a, b}. Schemas genau dann eine 0 hat, wenn l i dort eine 1 hat, und umgekehrt. Fang an von rechts zu zählen beginnend mit der 0. Mit hilfe des alphabets σ = {0,1,2,3,4,5,6,7,8,9} können alle natürlichen zahlen im dezimalsystem gebildet werden. Consisting of letters and numbers, alphanumeric characters are used across numerous forms of communication.

Here's what you need to know.

Die stelle an der eine 1 steht bestimmt die potenz zur basis 2. An den stellen an denen eine 1 . Fang an von rechts zu zählen beginnend mit der 0. An alphabet is a group of letters that make up each of the sounds of a language. There are so many different writing systems in the world. Mit hilfe des alphabets σ = {0,1,2,3,4,5,6,7,8,9} können alle natürlichen zahlen im dezimalsystem gebildet werden. Das dezimalsystem hat zehn, nähmlich 0, 1, 2, 3, 4, 5, 6, 7, 8 und . Consisting of letters and numbers, alphanumeric characters are used across numerous forms of communication. Ein zahlensystem ist benannt nach der anzahl der verschiedenen ziffern die verwendet werden. Schemas genau dann eine 0 hat, wenn l i dort eine 1 hat, und umgekehrt. Die folgenden mengen sind beispiele für alphabete: Genauso wie das dezimalsystem auf potenzen zur basis 10 (100=1; Alphabet may refer to any of the following:

Ein alphabet a ist eine nichtleere, endliche menge von zeichen. Ein zahlensystem ist benannt nach der anzahl der verschiedenen ziffern die verwendet werden. An alphabet is a group of letters that make up each of the sounds of a language. 0, 1, 2, 3, 4, 5, 6, 7, 8, . Mit hilfe des alphabets σ = {0,1,2,3,4,5,6,7,8,9} können alle natürlichen zahlen im dezimalsystem gebildet werden.

Ruhr Uni Bochum De
Ruhr Uni Bochum De from
Die folgenden mengen sind beispiele für alphabete: Alphabet may refer to any of the following: Schemas genau dann eine 0 hat, wenn l i dort eine 1 hat, und umgekehrt. Consisting of letters and numbers, alphanumeric characters are used across numerous forms of communication. An den stellen an denen eine 1 . Here's what you need to know. A 1 = {a,., z} (kleinbuchstaben). Die stelle an der eine 1 steht bestimmt die potenz zur basis 2.

Genauso wie das dezimalsystem auf potenzen zur basis 10 (100=1;

A 1 = {a,., z} (kleinbuchstaben). Genauso wie das dezimalsystem auf potenzen zur basis 10 (100=1; Sehen sie die alphabetischen buchstaben in binärcode! Alphabet may refer to any of the following: Ein alphabet a ist eine nichtleere, endliche menge von zeichen. 0, 1, 2, 3, 4, 5, 6, 7, 8, . In der zahlenlehre wird entsprechend der . Here's what you need to know. Die folgenden mengen sind beispiele für alphabete: A 0 = {a, b}. Consisting of letters and numbers, alphanumeric characters are used across numerous forms of communication. Mit hilfe des alphabets σ = {0,1,2,3,4,5,6,7,8,9} können alle natürlichen zahlen im dezimalsystem gebildet werden. An den stellen an denen eine 1 .

Ein zahlensystem ist benannt nach der anzahl der verschiedenen ziffern die verwendet werden. Mit hilfe des alphabets σ = {0,1,2,3,4,5,6,7,8,9} können alle natürlichen zahlen im dezimalsystem gebildet werden. Sehen sie die alphabetischen buchstaben in binärcode! Ein alphabet a ist eine nichtleere, endliche menge von zeichen. Da das alphabet bekanntlich aus buchstaben und nicht aus zahlen besteht,.

Goldenes Alphabet Nummern 0 1 2 3 4 5 6 7 8 9 Mit Pragung Aus Metall 3d Abbildung Stock Abbildung Illustration Von Auslegung Neun 162031941
Goldenes Alphabet Nummern 0 1 2 3 4 5 6 7 8 9 Mit Pragung Aus Metall 3d Abbildung Stock Abbildung Illustration Von Auslegung Neun 162031941 from thumbs.dreamstime.com
Die stelle an der eine 1 steht bestimmt die potenz zur basis 2. A 1 = {a,., z} (kleinbuchstaben). Genauso wie das dezimalsystem auf potenzen zur basis 10 (100=1; Here's what you need to know. Ein alphabet a ist eine nichtleere, endliche menge von zeichen. There are so many different writing systems in the world. An alphabet is a group of letters that make up each of the sounds of a language. Computer dictionary definition for what alphabet means including related links, information, and terms.

Consisting of letters and numbers, alphanumeric characters are used across numerous forms of communication.

In der zahlenlehre wird entsprechend der . Die stelle an der eine 1 steht bestimmt die potenz zur basis 2. Computer dictionary definition for what alphabet means including related links, information, and terms. Alphabet may refer to any of the following: Die folgenden mengen sind beispiele für alphabete: Schemas genau dann eine 0 hat, wenn l i dort eine 1 hat, und umgekehrt. There are so many different writing systems in the world. Genauso wie das dezimalsystem auf potenzen zur basis 10 (100=1; Mit hilfe des alphabets σ = {0,1,2,3,4,5,6,7,8,9} können alle natürlichen zahlen im dezimalsystem gebildet werden. An den stellen an denen eine 1 . A 0 = {a, b}. Fang an von rechts zu zählen beginnend mit der 0. A 1 = {a,., z} (kleinbuchstaben).

Related Posts

There is no other posts in this category.

Posting Komentar